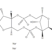
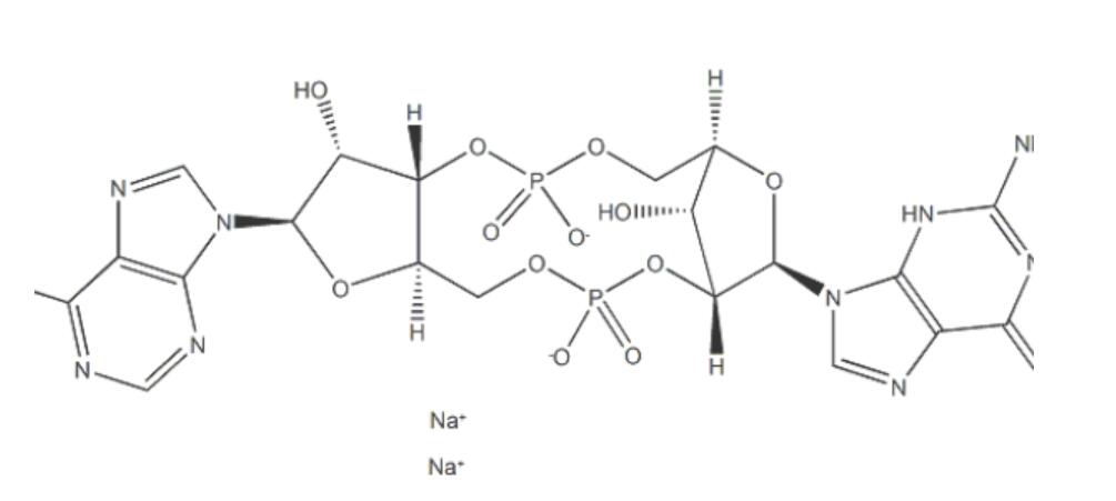
2’3′-cGAMP 钠盐 CAS号 1441190-66-4
基本信息
CAS(化学文摘登记)号
1441190-66-4
中文名称
2’3′-cGAMP 钠盐
中文别称
[RN]
2-氨基-9-[(1R,6R,8R,9R,10S,15R,17R,18R)-8-(6-氨基-9H-嘌呤-9-基)-3,9,12,18-四羟基-3,12-二氧化-2,4,7,11,13,16-六氧杂-3,12-二磷酸三环[13.2.1.0~6,10~]十八碳-17-基]-1,9-二氢-6H-嘌呤-6-酮
[德语]
[IUPAC名称 – 由…生成ACD/名称]
2-氨基-9-[(1R,6R,8R,9R,10S,15R,17R,18R)-8-(6-氨基-9H-嘌呤-9-基)-3,9,12,18-四羟基-3,12-二氧化-2,4,7,11,13,16-六氧杂-3,12-二磷杂三环[13.2.1.0~6,10~]十八碳-17-基]-1,9-二氢-6H-嘌呤-6-酮
[IUPAC名称 – 由…生成ACD/名称]
2-氨基-9-[(1R,6R,8R,9R,10S,15R,17R,18R)-8-(6-氨基-9H-嘌呤-9-基)-3,9,12,18-四羟基-3,12-二氧-2,4,7,11,13,16-六氧杂-3,12-二磷杂三环[13.2.1.0~6,10~]十八碳-17-基]-1,9-二氢-6H-嘌呤-6-酮
[法语]
[IUPAC名称 – 由…生成ACD/名称]
2′,5′-3′,5′-cGAMP
2′-O,5′-O-((腺苷-3′-O,5′-O-二基)双膦酸)鸟苷
6H-嘌呤-6-酮,2-氨基-9-[(5R,7R,8R,12aR,14R,15R,15aS,16R)-14-(6-氨基-9H-嘌呤-9-基)八氢-2,10,15,16-四羟基-2,10-二氧化-5,8-亚甲基-12H-呋喃并[3,2-1]-1,3,6,9,11,2,10-五氧杂二磷杂环十四烷基-7-基]-1,9-二氢-
[IUPAC索引名称 – 由…生成ACD/名称]
cGAMP(2′-5′)
环状[G(2′,5′)pA(3′,5′)p]
简化分子线性输入规范(SMILES)
Nc1nc2c(ncn2[C@@H]2O[C@@H]3COP(=O)(O)O[C@H]4C@@HC@HO[C@@H]4COP(=O)(O)O[C@@H]2[C@@H]3O)c(=O)[nH]1
StdInChI
InChI=1S/C20H24N10O13P2/c21-14-8-15(24-3-23-14)29(4-25-8)18-11(32)12-7(41-18)2-39-45(36,37)43-13-10(31)6(1-38-44(34,35)42-12)40-19(13)30-5-26-9-16(30)27-20(22)28-17(9)33/h3-7,10-13,18-19,31-32H,1-2H2,(H,34,35)(H,36,37)(H2,21,23,24)(H3,22,27,28,33)/t6-,7-,10-,11-,12-,13-,18-,19-/m1/s1
StdInChIKey
XRILCFTWUCUKJR-INFSMZHSSA-N
分子式
C20H24N10O13P2
分子量
674.417
EINECS号
213-025-9
贝尔斯坦(Beilstein)注册号
379542
MDL编号
MFCD00011680
物理性质
外观
白色粉末
安全信息
警告
RIDADR
NONH 适用于所有交通方式
德国水污染物质分类清单(WGK Germany)
3
2’3′-cGAMP 钠盐 CAS号 1441190-66-4 的详细规格和其他相关信息
测试方法
核磁;高效液相色谱
纯度
≥98%
水分
≤3%
保存条件
-20℃。
用途
先天免疫研究:作为强效的STING(干扰素基因刺激因子)通路激动剂,广泛用于研究人类和动物的先天免疫反应。2. 癌症研究:激活免疫系统,支持肿瘤免疫治疗研究。3. 疫苗佐剂:研究其增强疫苗效力的潜力。4. 抗病毒研究:用于探索对抗DNA病毒和部分RNA病毒的机制。5. 药物开发:作为候选分子或工具化合物,用于开发新型免疫调节疗法。。
相关图谱

Sales Outside China
This product is sold exclusively through our sales company Watson International Ltd outside China, and please click the link below for details https://www.watson-int.com/23-cgamp-sodium-salt-cas-1441190-66-4/
微信扫描下方的二维码阅读本文




