Watson(沃森)的目标是:
引入国外ChemWhat【凯望】品牌的先进半导体材料、杂质对照品、体外诊断原料及高品质单体,助力中国研发
ChemWhat【凯望】先进高纯度半导体材料
来自Watson Chem欧洲工厂和美国实验室,纯度从3N至7N及更高纯度的二元、三元、多元半导体材料试剂,以卓越品质享誉全球顶尖高校、研发机构的实验室
ChemWhat【凯望】杂质对照品和标准品
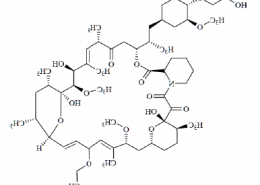
ChemWhat【凯望】品牌的医药杂质对照品,尤其是某些疑难杂质产品,以其精确的构型和准确的纯度标注在欧美药厂的申报和验证中持续发挥着重要的作用
ChemWhat【凯望】生物技术产品
源自英国的ChemWhat【凯望】品牌酶产品通过优化酶的氨基酸序列和改良的辅因子配比,使得其在反应速率、底物亲和力以及长期储存的稳定性方面表现优异






























